Статья 29. Сила Кориолиса
Автор: НИИ Центр Упреждающих Стратегий www.salvatorem.ru
29. Сила Кориолиса
Самая ужасная сила, которой гравитоны не нужны
Сначала – что известно научному миру о силе Кориолиса?
При вращении диска более далёкие от центра точки движутся с большей касательной скоростью, чем менее далёкие (группа чёрных стрелок вдоль радиуса). Переместить некоторое тело вдоль радиуса так, чтобы оно оставалось на радиусе (синяя стрелка из положения “А” в положение “Б”) можно, увеличив скорость тела, то есть придав ему ускорение. Если система отсчёта вращается вместе с диском, то видно, что тело “не хочет” оставаться на радиусе, а “пытается” уйти влево – это и есть сила Кориолиса.
Траектории шарика при движении по поверхности вращающейся тарелки в разных системах отсчета (вверху – в инерциальной, внизу – в неинерциальной).
![]() |
![]() |
Сила Кориолиса – одна из сил инерции, существующая в неинерциальной системе отсчёта из-за вращения и законов инерции, проявляющаяся при движении в направлении под углом к оси вращения. Названа по имени французского учёного Гюстава Гаспара Кориолиса, впервые её описавшего. Ускорение Кориолиса было получено Кориолисом в 1833 году, Гауссом в 1803 году и Эйлером в 1765 году.
Причина появления силы Кориолиса — в кориолисовом (поворотном) ускорении. В инерциальных системах отсчёта действует закон инерции, то есть, каждое тело стремится двигаться по прямой и с постоянной скоростью. Если рассмотреть движение тела, равномерное вдоль некоторого вращающегося радиуса и направленное от центра, то станет ясно, что чтобы оно осуществилось, требуется придавать телу ускорение, так как чем дальше от центра, тем должна быть больше касательная скорость вращения. Это значит, что с точки зрения вращающейся системы отсчёта, некая сила будет пытаться сместить тело с радиуса.
Для того, чтобы тело двигалось с кориолисовым ускорением, необходимо приложение силы к телу, равной F = ma, где a — кориолисово ускорение. Соответственно, тело действует по третьемузаконуНьютона с силой противоположной направленности. FK = — ma.
![]() |
Сила, которая действует со стороны тела, и будет называться силой Кориолиса. Не следует путать Кориолисову силу с другой силой инерции — центробежной силой, которая направлена по радиусу вращающейся окружности. Если вращение происходит по часовой стрелке, то двигающееся от центра вращения тело будет стремиться сойти с радиуса влево. Если вращение происходит против часовой стрелки — то вправо. |
Правило Жуковского
| Ускорение кориолиса можно получить, спроецировав вектор скорости материальной точки в неинерциальной системе отсчёта на плоскость перпендикулярную вектору угловой скорости неинерциальной системы отсчёта , увеличив полученную проекцию в раз и повернув её на 90 градусов в направлении переносного вращения. | Н. Е. Жуковским была предложена удобная для практического использования словесная формулировка определения силы Кориолиса |
Дополнения:
Правило буравчика
![]() |
Прямой провод с током. Ток (I), протекая через провод, создаёт магнитное поле (B) вокруг провода. Правило буравчика (также, правило правой руки) — мнемоническое правило для определения направления вектора угловой скорости, характеризующей скорость вращения тела, а также вектора магнитной индукции B или для определения направления индукционного тока. Правило правой руки Правило буравчика: “Если направление поступательного движения буравчика (винта) совпадает с направлением тока в проводнике, то направление вращения ручки буравчика совпадает с направлением вектора магнитной индукции“. |
Определяет направление индукционного тока в проводнике, движущемся в магнитном поле
Правило правой руки: “Если ладонь правой руки расположить так, чтобы в нее входили силовые линии магнитного поля, а отогнутый большой палец направить по движению проводника, то 4 вытянутых пальца укажут направление индукционного тока”.
Для соленоида оно формулируется так: “Если обхватить соленоид ладонью правой руки так, чтобы четыре пальца были направлены вдоль тока в витках, то отставленный большой палец покажет направление линий магнитного поля внутри соленоида”.
Правило левой руки
Если движется заряд, а магнит покоится, то для определения силы действует правило левой руки: “Если левую руку расположить так, чтобы линии индукции магнитного поля входили в ладонь перпендикулярно ей, а четыре пальца были направлены по току (по движению положительно заряженной частицы или против движения отрицательно заряженной), то отставленный на 90® большой палец покажет направление действующей силы Лоренца или Ампера”.
МАГНИТНОЕ ПОЛЕ
- это особый вид материи, посредством которой осуществляется взаимодействие между движущимися электрически заряженными частицами.
СВОЙСТВА ( стационарного) МАГНИТНОГО ПОЛЯ
Постоянное (или стационарное) магнитное поле – это магнитное поле, неизменяющееся во времени .
1. Магнитное поле создается движущимися заряженными частицами и телами, проводниками с током, постоянными магнитами.
2. Магнитное поле действует на движущиеся заряженные частицы и тела, на проводники с током, на постоянные магниты, на рамку с током.
3. Магнитное поле вихревое, т.е. не имеет источника.
МАГНИТНЫЕ СИЛЫ - это силы, с которыми проводники с током действуют друг на друга.
………………
МАГНИТНАЯ ИНДУКЦИЯ - это силовая характеристика магнитного поля.
Вектор магнитной индукции направлен всегда так, как сориентирована свободно вращающаяся магнитная стрелка в магнитном поле.
| |
Единица измерения магнитной индукции в системе СИ: |
ЛИНИИ МАГНИТНОЙ ИНДУКЦИИ - это линии, касательными к которой в любой её точке является вектор магнитной индукции.
Однородное магнитное поле – это магнитное поле, у которого в любой его точке вектор магнитной индукции неизменен по величине и направлению; наблюдается между пластинами плоского конденсатора, внутри соленоида (если его диаметр много меньше его длины) или внутри полосового магнита.
СВОЙСТВА ЛИНИЙ МАГНИТНОЙ ИНДУКЦИИ
– имеют направление;
– непрерывны;
– замкнуты (т.е. магнитное поле является вихревым);
– не пересекаются;
– по их густоте судят о величине магнитной индукции.
НАПРАВЛЕНИЕ ЛИНИЙ МАГНИТНОЙ ИНДУКЦИИ - определяется по правилу буравчика или по правилу правой руки.
Правило буравчика ( в основном для прямого проводника с током):
Если левую руку расположить так, чтобы перпендикулярная проводнику составляющая вектора магнитной индукции входила в ладонь, а 4 вытянутых пальца были направлены по направлению тока, то отогнутый на 90 градусов большой палец покажет направление силы, действующий на проводник с током.
Так, в магнитном поле прямого проводника с током (оно неоднородно) рамка с током ориентируется вдоль радиуса магнитной линии и притягивается или отталкивается от прямого проводника с током в зависимости от направления токов.
![]() |
Направление силы Кориолиса на вращающейся Земле. Центробежная сила, действующая на тело массы m, по модулю равна Fpr = mb2r, где b = омега– угловая скорость вращения и r — расстояние от оси вращения. Вектор этой силы лежит в плоскости оси вращения и направлен перпендикулярно от неё. Величина силы Кориолиса, действующей на частицу, движущуюся со скоростью относительно данной вращающейся системы отсчета, определяется выражением , где альфа — угол между векторами скорости частицы и угловой скорости системы отсчета. Вектор этой силы направлен перпендикулярно обоим векторам и вправо от скорости тела (определяется по правилу буравчика). |
Эффекты силы Кориолиса: лабораторные эксперименты
![]() |
Маятник Фуко на северном полюсе. Ось вращения Земли лежит в плоскости колебаний маятника. Маятник Фуко. Эксперимент, наглядно демонстрирующий вращение Земли, поставил в 1851 году французский физик Леон Фуко. Его смысл заключается в том, что плоскость колебаний математического маятника неизменна относительно инерциальной системы отсчета, в данном случае относительно неподвижных звезд. Таким образом, в системе отсчета, связанной с Землей, плоскость колебаний маятника должна поворачиваться. С точки зрения неинерциальной системы отсчета, связанной с Землёй, плоскость колебаний маятника Фуко поворачивается под действием силы Кориолиса. Наиболее отчетливо этот эффект должен быть выражен на полюсах, где период полного поворота плоскости маятника равен периоду вращения Земли вокруг оси (звёздным суткам). В общем случае, период обратно пропорционален синусу географической широты, на экваторе плоскость колебаний маятника неизменна. |
В настоящее время маятник Фуко с успехом демонстрируется в ряде научных музеев и планетариев, в частности, в планетарии Санкт-Петербурга, планетарии Волгограда.
Существует ряд других опытов с маятниками, используемых для доказательства вращения Земли. Например, в опыте Браве (1851 г.) использовался конический маятник. Вращение Земли доказывалось тем, что периоды колебаний по и против часовой стрелки различались, поскольку сила Кориолиса в этих двух случаях имела разный знак. В 1853 г. Гаусс предложил использовать не математический маятник, как у Фуко, а физический, что позволило бы уменьшить размеры экспериментальной установки и увеличить точность эксперимента. Эту идею реализовал Камерлинг-Оннес в 1879 г.
Гироскоп – вращающееся тело со значительным моментом инерции сохраняет момент импульса, если нет сильных возмущений. Фуко, которому надоело объяснять, что происходит с маятником Фуко не на полюсе, разработал другую демонстрацию: подвешенный гироскоп сохранял ориентацию, а значит медленно поворачивался относительно наблюдателя.
Отклонение снарядов при орудийной стрельбе. Другим наблюдаемым проявлением силы Кориолиса является отклонение траекторий снарядов (в северном полушарии вправо, в южном — влево), выстреливаемых в горизонтальном направлении. С точки зрения инерциальной системы отсчета, для снарядов, выстреливаемых вдоль меридиана, это связано с зависимостью линейной скорости вращения Земли от географической широты: при движении от экватора к полюсу снаряд сохраняет горизонтельную компоненту скорости неизменной, в то время как линейная скорость вращения точек земной поверхности уменьшается, что приводит к смещению снаряда от меридиана в сторону вращения Земли. Если выстрел был произведен параллельно экватору, то смещение снаряда от параллели связано с тем, что траектория снаряда лежит в одной плоскости с центром Земли, в то время как точки земной поверхности движутся в плоскости, перпендикулярной оси вращения Земли.
Отклонение свободно падающих тел от вертикали. Если скорость движения тела имеет большую вертикальную составляющую, сила Кориолиса направлена к востоку, что приводит к соответствующему отклонению траектории тела, свободно падающего (без начальной скорости) с высокой башни. При рассмотрении в инерциальной системе отсчета эффект объясняется тем, что вершина башни относительно центра Земли движется быстрее, чем основание, благодаря чему траектория тела оказывается узкой параболой и тело слегка опережает основание башни.
Этот эффект был предсказан Ньютоном в 1679 г. Ввиду сложности проведения соответствующих экспериментов эффект удалось подтвердить только в конце XVIII — первой половине XIX века (Гульельмини, 1791; Бенценберг, 1802; Райх, 1831).
Австрийский астроном Иоганн Хаген (1902 г.) осуществил эксперимент, являющийся модификацией этого опыта, где вместо свободно падающих грузов использовалась машина Атвуда. Это позволило снизить ускорение падения, что привело к уменьшению размеров экспериментальной установки и повышению точности измерений.
Эффект Этвёша. Ни низких широтах сила Кориолиса при движении по земной поверхности направлена в вертикальном направлении и её действие приводит к увеличению или уменьшению ускорения свободного падения, в зависимости от того, движется ли тело на запад или восток. Этот эффект назван эффектом Этвёша в честь венгерского физика Роланда Этвёша, экспериментально обнаружившего его в начале XX века.
Опыты, использующие закон сохранения момент импульса. Некоторые эксперименты основаны на законе сохранения момента импульса: в инерциальной системе отсчёта величина момента импульса (равная произведению момента инерции на угловую скорость вращения) под действием внутренних сил не меняется. Если в некоторый начальный момент времени установка неподвижна относительно Земли, то скорость её вращения относительно инерциальной системы отсчета равна угловой скорости вращения Земли. Если изменить момент инерции системы, то должна измениться угловая скорость её вращения, то есть начнётся вращение относительно Земли. В неинерциальной системе отсчёта, связанной с Землёй, вращение возникает в результате действия силы Кориолиса. Эта идея была предложена французским учёным Луи Пуансо в 1851 г.
Первый такой эксперимент был поставлен Хагеном в 1910 г.: два груза на гладкой перекладине были установлены неподвижно относительно поверхности Земли. Затем расстояние между грузами было уменьшено. В результате установка пришла во вращение. Ещё более наглядный опыт поставил немецкий учёный Ханс Букка (Hans Bucka) в 1949 г. Стержень длиной примерно 1,5 метра был установлен перпендикулярно прямоугольной рамке. Первоначально стержень был горизонтален, установка была неподвижной относительно Земли. Затем стержень был приведен в вертикальное положение, что привело к изменения момента инерции установке примерно в 104 раз и её быстрому вращению с угловой скоростью, в 104 раз превышающей скорость вращения Земли.
Воронка в ванне. Поскольку сила Кориолиса очень слаба, она оказывает пренебрежимо малое влияние на направление закручивания воды при сливе в раковине или ванне, поэтому в общем случае направление вращения в воронке не связано с вращением Земли. Однако в тщательно контролируемых экспериментах можно отделить действие силы Кориолиса от других факторов: в северном полушарии воронка будет закручена против часовой стрелки, в южном — наоборот (всё наоборот).
Эффекты силы Кориолиса: явления в окружающей природе
Закон Бэра. Как впервые отметил петербургский академик Карл Бэр в 1857 году, реки размывают в северном полушарии правый берег (в южном полушарии — левый), который вследствие этого оказывается более крутым (закон Бэра). Объяснение эффекта аналогично объяснению отклонения снарядов при стрельбе в горизонтальном направлении: под действием силы Кориолиса вода сильнее ударяется в правый берег, что приводит к его размытию, и, наоборот, отступает от левого берега.
![]() |
Циклон над юго-восточным побережьем Исландии (вид из космоса). Ветры: пассаты, циклоны, антициклоны. С наличием силы Кориолиса, направленной в северном полушарии вправо и в южном влево, связаны также атмосферные явления: пассаты, циклоны и антициклоны. Явление пассатов вызывается неодинаковостью нагрева нижних слоёв земной атмосферы в приэкваториальной полосе и в средних широтах, приводящему к течению воздуха вдоль меридиана на юг или север в северном и южном полушариях, соответственно. Действие силы Кориолиса приводит к отклонению потоков воздуха: в северном полушарии — в сторону северо-востока (северо-восточный пассат), в южном полушарии — на юго-восток (юго-восточный пассат). |
Циклоном называется атмосферный вихрь с пониженным давлением воздуха в центре. Массы воздуха, стремясь к центру циклона, под действием силы Кориолиса закручиваются против часовой стрелки в северном полушарии и по часовой стрелке в южном. Аналогично, в антициклоне, где в центре имеется максимум давления, наличие силы Кориолиса приводит к вихревому движению по часовой стрелке в северном полушарии и против часовой стрелки в южном. В стационарном состоянии направление движения ветра в циклоне или антициклоне таково, что сила Кориолиса уравновешивает градиент давления между центром и периферией вихря (геострофический ветер).
Оптические эксперименты
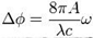
В основе ряда опытов, демонстрирующих вращение Земли, используется эффект Саньяка: если кольцевой интерферометр совершает вращательное движение, то вследствие релятивистских эффектов полосы смещаются на угол
![]() |
где A — площадь кольца, c — скорость света, омега — угловая скорость вращения. Для демонстрации вращения Земли этот эффект был использован американским физиком Майкельсоном в серии экспериментов, поставленных в 1923–1925 гг. В современных экспериментах, использующих эффект Саньяка, вращение Земли необходимо учитывать для калибровки кольцевых интерферометров. |
Правило буравчика в жизни дельфинов
Однако маловероятно, что дельфины способны ощущать эту силу в таком незначительном масштабе, – пишет MIGNews. По другой версии Менджера, дело в том, что животные плавают одном направлении, чтобы держаться группой во время относительной уязвимости в часы полусна. “Когда дельфины бодрствуют, они используют свист, чтобы держаться вместе, – объясняет ученый. – Но во время сна они не хотят шуметь, потому что бояться привлечь внимание”. Но Менджер не знает, почему выбор направления изменяется в связи с полушарием: “Это выше моих сил”, – признает исследователь.
Мнение дилетанта
Итак, имеем сборку:
1. Сила Кориолиса – одна из сил инерции, существующая в неинерциальной системе отсчёта из-за вращения и законов инерции, проявляющаяся при движении в направлении под углом к оси вращения.
2. В северном полушарии все движущиеся тела (течения) отклоняются вправо.
3. В южном полушарии все движущиеся тела отклоняются влево
4. Правило буравчика.
5. МАГНИТНОЕ ПОЛЕ - это особый вид материи, посредством которой осуществляется взаимодействие между движущимися электрически заряженными частицами.
6. МАГНИТНАЯ ИНДУКЦИЯ - это силовая характеристика магнитного поля.
7. НАПРАВЛЕНИЕ ЛИНИЙ МАГНИТНОЙ ИНДУКЦИИ - определяется по правилу буравчика или по правилу правой руки.
8. Маятник Фуко.
9. Отклонение свободно падающих тел от вертикали.
10. Воронка в ванне
11. Эффект правого берега.
12. Дельфины.
На экваторе провели эксперимент с водой. Севернее экватора при сливе вода вращалась по часовой стрелке, южнее экватора – против часовой стрелки. То, что правый берег выше левого – это вода затаскивает скальную породу наверх.
Сила Кориолиса никакого отношения к вращению Земли не имеет!
Подробное описание трубок связи со спутниками, Луной и Солнцем приведены в монографии “Холодный ядерный синтез”.
Там же эффекты, возникающие при снижении потенциалов отдельных частот в трубках связи.
С 2007 года наблюдались эффекты:
- Вращение воды при сливе как по часовой, так и против часовой стрелок, иногда слив производился без вращения.
- Дельфины выбрасывались на берег.
- Отсутствовала трансформация тока (на входе всё есть, на выходе ничего нет).
- При трансформации выходная мощность значительно превосходила входную.
- Сгорание трансформаторных подстанций.
- Сбои систем связи.
- Не работало правило буравчика при магнитной индукции.
- Пропал Гольфстрим.
Планируется:
- Останов океанских течений.
- Останов рек, впадающих в Чёрное море.
- Останов рек, впадающих в Аральское море.
- Останов Енисея.
- Ликвидация трубок связи приведёт к смещению спутников планет на круговые орбиты вокруг Солнца, радиус орбит будет меньше радиуса орбиты Меркурия.
- Снятие трубки связи с Солнцем – гашение короны.
- Снятие трубки связи с Луной – ликвидация размножения “золотого миллиарда” и “золотого миллиона”, при этом Луна “отъезжает” от Земли на 1200000 км.













